Oil reserve declining production rate model | Vose Software

Example Models

to better understand ModelRisk

Oil reserve declining production rate model

ModelRisk needs to be installed in order for the model to work.

An example of a Monte Carlo simulation risk analysis model for the Oil and Gas industry

This example shows a simple use of Monte Carlo simulation to assess the uncertainty of the declining production rate from an oil reserve.

Technical difficulty: 1

Techniques used: Monte Carlo simulation in Excel, time series

ModelRisk functions used: VoseLognormal, VoseNormal, VoseInput, VoseOutput

Model description

The risk analysis model is built using Excel with our Monte Carlo simulation add-in called ModelRisk. It uses the following formatting convention:
risk analysis simulation example model formatting convention
The model is simple and easy to follow:
risk analysis simulation example model spreadsheet view
The input parameters are simulated by drawing from Lognormal statistical distributions with a mean equal to the point estimate values and a standard deviation equal to the error terms multiplied by the point estimates.

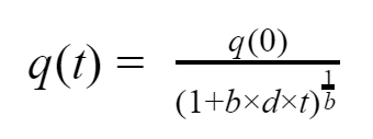
The calculations use the hyperbolic decline model for reserve production rates with the formula:

The calculations follow the formulae:
hyperbolic decline model for reserve production rates formulae
where t = time of production, d = initial nominal decline rate, q(x) = production rate at time x, and b = the hyperbolic decline constant.

Results

The model takes about 3 seconds to run 5,000 samples. It is set up to directly show a number of reports within the ModelRisk ResultsViewer at the end of the simulation, which are described below.

The first tab shows a Trend plot of the annual oil production:
risk analysis simulation example model results - trend plot
This red line shows the median (P50) of the production estimate, the light-colored band shows the P25-P75 range, and the dark bank shows the P01-P99 range.

The second tab shows a histogram plot for the estimate of total oil production over the forecast period:
risk analysis simulation example model results - histogram plot
It illustrates, for example, that it is estimated there is a 5% chance the total production is less than 213 MM bbl, and a 5% chance it is over 229 MM bbl, with a most likely value of around 221 MM bbl.

The third tab plots the cumulative probability distribution together for several years’ production for comparison:
risk analysis simulation example model results - cumulative plot
Finally, the last tab plots the different production volumes by year in box plot form:
risk analysis simulation example model results - box plot